HealthByte 037
This week: The brain can trigger immunity from just seeing infection, AI predicts ICU crises hours in advance, and lithium deficiency emerges as a possible Alzheimer’s trigger.
Welcome to HealthByte, your curated biweekly source for the latest breakthroughs in health and life science!
Bytes of Research
1. Neural anticipation of virtual infection triggers an immune response
(Nature Neuroscience)
TL;DR: In this study, virtual reality “infectious” avatars activated brain threat-detection networks, altered hypothalamic connectivity, and triggered immune responses similar to real pathogen exposure, suggesting the brain can prime defences before physical contact.
This study demonstrated that the human brain can anticipate potential pathogen exposure and initiate an immune response before there is physical contact. To test this, researchers used immersive virtual reality to show healthy volunteers avatars with visible signs of illness entering their personal space. Behavioural tests, along with brain activity measurements using electroencephalography (EEG) and functional magnetic resonance imaging (fMRI), showed that areas of the brain responsible for integrating sensory information and planning movements — as well as the “salience network,” which flags important or potentially threatening events — became active early in the encounter.
At the same time, patterns of communication between these regions and the hypothalamus, a brain structure that helps control both immune function and the body’s stress responses, were altered. Immune profiling showed changes in the frequency and activation of innate lymphoid cells, similar to those seen after influenza vaccination. Machine learning analyses linked these immune effects to coordinated modulation of hormones, eicosanoids (signalling molecules), and neuroinflammatory factors via the hypothalamic–pituitary–adrenal axis.
Together, the findings point to a proactive neuro–immune mechanism that primes innate immunity as soon as the brain detects signs of infection.
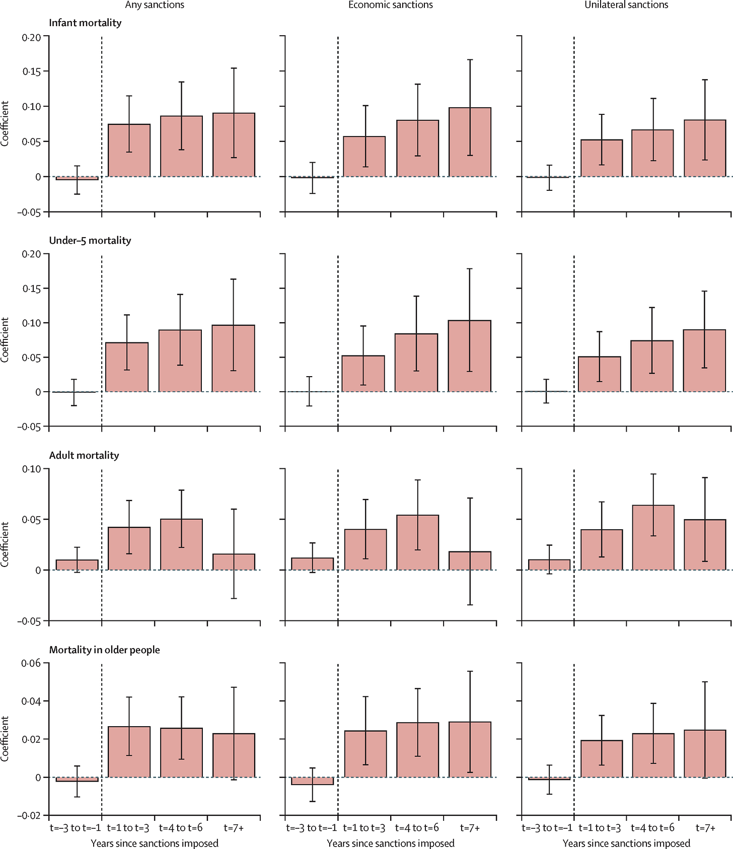
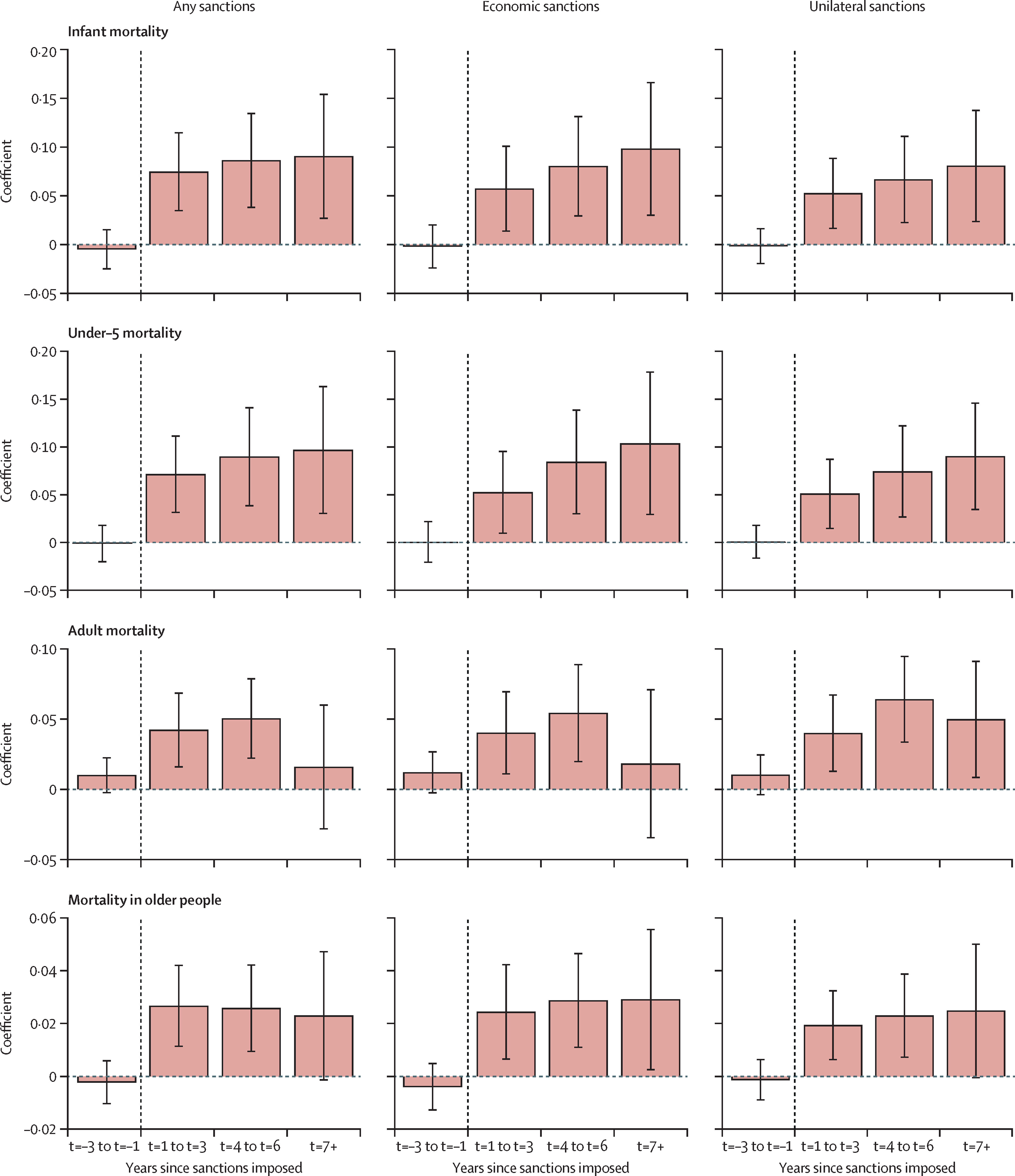
2. Effects of international sanctions on age-specific mortality: a cross-national panel data analysis
(The Lancet Global Health)
TL;DR: Sanctions—especially unilateral economic ones—can cause large-scale loss of life by disrupting essential goods, health services, and humanitarian aid, with recent tolls rivalling those of wars.
Over the past five decades, data from 152 countries show that international sanctions—especially those imposed unilaterally, targeting economic activity, and led by the United States—are linked to substantial increases in death rates, particularly among children under five and older adults. The study suggests these effects stem from sanctions disrupting essential imports, such as food and medical supplies; reducing public revenues needed for health services; and creating barriers for humanitarian organisations.
In contrast, United Nations sanctions showed no clear effect, possibly reflecting greater oversight and efforts to shield civilians. In the past decade alone, unilateral sanctions were associated with around 564,000 excess deaths annually, a toll comparable to that of global armed conflict. The findings raise difficult questions about the humanitarian cost of sanctions and highlight the need to reform their design to reduce harm while pursuing foreign policy goals.

3. Deep manifold learning reveals hidden developmental dynamics of a human embryo model
(Science Advances)
TL;DR: Researchers trained a deep learning model on over 3,600 images of embryoid development, enabling realistic, high–time-resolution simulations that provide an ethical and safe way to study early human development.
Understanding how human embryoids — 3D cell clusters grown from stem cells that mimic some early features of embryos — develop has long been a scientific goal, but progress has been limited by the scarcity of human specimens and ethical constraints. Human pluripotent stem cells (hPSCs), which can self-organise into these embryonic-like structures, offer a promising alternative, but producing them at scale remains difficult, and existing imaging data often lack the temporal resolution needed to capture fine developmental details.
To address this, researchers collected and analysed more than 3,600 images of hPSCs at different stages over six hours. Using advanced deep learning approaches, including deep manifold learning, they tracked temporal changes such as tissue growth and cell brightness, mapped cell-to-cell connections, and modelled underlying regulatory dynamics.
This approach revealed new insights, including evidence of cell type–specific sorting within human embryoids, and enabled the creation of high-quality, high–time-resolution simulations based on experimental data. The work opens new possibilities for studying early human development and advancing reproductive health research in an ethical and safe way.

4. Real-time prediction of intensive care unit patient acuity and therapy requirements using state-space modelling
(Nature Communications)
TL;DR: Researchers developed APRICOT-M, an AI model that predicts ICU patients’ stability and life-saving therapy needs within 4 hours, outperforming standard scores to enable earlier, more precise interventions.
In a step toward more responsive critical care, researchers have developed APRICOT-M, an AI model that predicts intensive care unit (ICU) patients’ clinical status and therapy needs in real time. Unlike traditional scoring systems, which are static and often focus only on mortality, APRICOT-M uses a “state-space” modelling approach to forecast whether a patient will remain stable, deteriorate, or require life-sustaining interventions—such as mechanical ventilation, vasopressors, or renal replacement therapy—within the next four hours.
Trained on over 140,000 ICU admissions from 55 hospitals and validated across multiple datasets, it integrates vital signs, lab results, medications, and patient characteristics, and is designed to handle incomplete or irregular ICU data without imputing missing values. APRICOT-M consistently outperformed standard clinical scores, and clinician reviews found many of its alerts timely and actionable, particularly for therapy-specific recommendations. The system could therefore support both earlier and more targeted interventions in critical care.

5. Comprehensive human proteome profiles across a 50-year lifespan reveal aging trajectories and signatures
(Cell)
TL;DR: Scientists have mapped how proteins change across human organs over 50 years, revealing early vascular aging, widespread protein imbalance, and new targets to slow age-related decline.
A team of researchers has created the first large-scale “proteomic atlas” of human organ aging, mapping protein changes across 13 tissues from donors aged 20 to 70. By analysing over 500 tissue samples, they found that aging disrupts the normal link between genes and proteins, and that proteostasis—the balance of protein production, folding, and clearance—declines with age, leading to amyloid buildup and inflammation.
Using these protein patterns, they built organ-specific “aging clocks” and discovered that many tissues experience an acceleration in aging around age 50, with blood vessels aging particularly early and playing a central role in driving whole-body decline through circulating “senoproteins.” The findings reveal both shared and organ-specific features of aging, highlight the vascular system as a key hub of age-related changes, and suggest new protein-targeted strategies—such as vaccines, antibody therapies, and protein-degrading drugs—to slow aging and prevent age-related diseases.

6. Surgical embodied intelligence for generalized task autonomy in laparoscopic robot-assisted surgery
(Science Robotics)
TL;DR: Researchers develop a system to train autonomous surgical robots that can generalise across a wide range of tasks and successfully perform surgeries in animal trials.
Due to the growing number of health-related conditions requiring surgery, medical systems are increasingly turning to surgical robots to assist with essential procedures. However, most existing systems are designed for specific operations and cannot easily adapt to diverse environments or general surgical tasks. To address this, a team of researchers has developed a machine learning–based simulation system for training surgical robots. The system uses an artificial intelligence approach called embodied learning, in which an autonomous robot physically carries out a wide range of simulated surgical tasks to learn skills that can be applied across different scenarios.
The trained system performed strongly on the standard da Vinci Research Kit benchmark, which tests highly dexterous actions such as needle grasping. It was also successfully validated in both ex vivo experiments on animal tissue and in vivo trials, marking a breakthrough in zero-shot transfer learning—where an AI system can perform tasks in an environment it has never encountered before. The researchers have open-sourced the embodied learning system, laying the groundwork for future autonomous surgical technologies.

7. Lithium deficiency and the onset of Alzheimer’s disease
(Nature)
TL;DR: Low brain lithium levels worsen Alzheimer’s-related brain changes and cognitive decline in mice, while low-dose lithium orotate restores lithium levels, improves memory, and reduces inflammation, making it a promising potential therapy.
Alzheimer’s disease is marked by progressive memory loss and characteristic changes in brain structure, but the factors that influence its onset and progression are still being uncovered. This study analysed post-mortem brain tissue from people with no cognitive impairment, mild cognitive impairment, or Alzheimer’s disease, and identified a potential link between low brain lithium levels and Alzheimer’s.
In experimental mouse models, lithium deficiency worsened hallmark Alzheimer’s features — including amyloid plaque build-up and tau tangles — accelerated cognitive decline, and impaired the function of microglia, the brain’s immune cells, partly through over-activation of the enzyme GSK3β.
Treatment with lithium orotate, a form of lithium that binds less strongly to amyloid plaques than the commonly used lithium carbonate, improved memory, reduced brain inflammation, and preserved brain structure in both aging mice and Alzheimer’s models. These findings suggest that maintaining adequate brain lithium levels may support healthy brain aging and slow Alzheimer’s progression, with lithium orotate emerging as a promising candidate for further therapeutic investigation.
Other pieces we’ve been reading this week!
Man develops rare condition after ChatGPT query over stopping eating salt: US medical journal article about 60-year-old with bromism warns against using AI app for health information (The Guardian)
Fraudulent Scientific Papers Are Rapidly Increasing, Study Finds (The New York Times)
Restoring the Infant Mortality Rate as a Measure of Societal Health and Well-Being (New England Journal of Medicine)
Quantum deception attempts turning water into wine: The effect lasts only a few picoseconds but demonstrates a way to manipulate the optical properties of materials (Chemistry World)
How an Ultra-Rare Disease Accelerates Aging: Teen-agers with progeria have effectively aged eight or nine decades. A cure could help change millions of lives—and shed light on why we grow old. (The New Yorker)

